https://dswatson.github.iocalibrate

Pona et al. 2026

Calibrate-then-deligate: Safety monitoring with risk and budget guarantees via model cascades. arXiv preprint, 2604.14251.

https://dswatson.github.iopigs

Gisby et al. 2026

Human-porcine transcriptomics reveals resuscitation-responsive pathways in trauma shock. medRxiv preprint.

https://dswatson.github.iopacmap

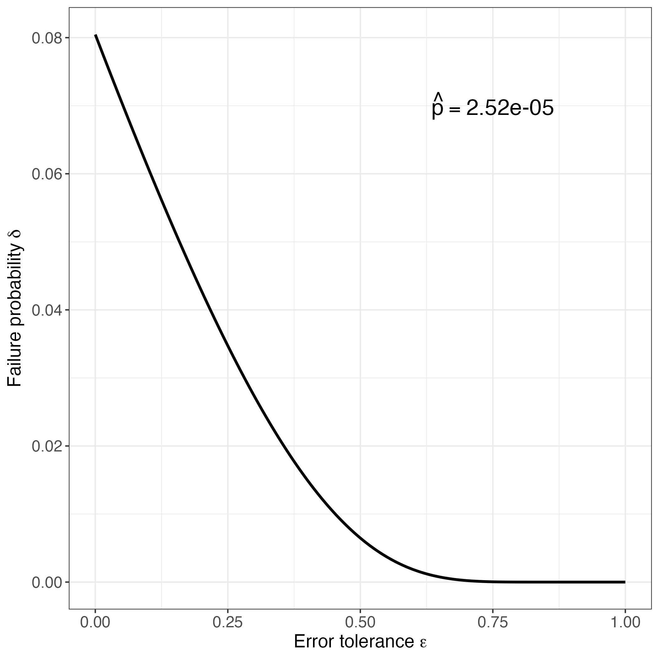
Shorvon et al. 2026

Probably approximately correct maximum a posteriori inference. arXiv preprint, 2601.16083.

https://dswatson.github.iopsort

Rider et al. 2026

Transcriptomic profiling and machine learning uncover gene signatures of psoriasis endotypes and disease severity. Communications Medicine.

https://dswatson.github.ioabstract_LLM

Pona et al. 2025

Abstract counterfactuals for language model agents. Advances in Neural Information Processing Systems 39.

https://dswatson.github.iorfae

Vu et al. 2025

Autoencoding random forests. Advances in Neural Information Processing Systems 39.

https://dswatson.github.iobudgetIV

Penn et al. 2024

BudgetIV: Optimal partial identification of causal effects with mostly invalid instruments. Proceedings of The 28th International Conference on Artificial Intelligence and Statistics.

https://dswatson.github.ioluddites

Watson et al. 2024

Competing narratives in AI ethics: A defense of sociotechnical pragmatism. AI & Society.

https://dswatson.github.iofuzzy

Yin et al. 2024

Hierarchical fuzzy model-agnostic explanations. IEEE Transactions on Fuzzy Systems.

https://dswatson.github.ioiv_bounds

Watson et al. 2024

Bounding causal effects with leaky instruments. Proceedings of the 40th Conference on Uncertainty in Artificial Intelligence.

https://dswatson.github.iomnist

Watson et al. 2023

Explaining predictive uncertainty with information theoretic Shapley values. Advances in Neural Information Processing Systems 36, pp. 7330-7350.

https://dswatson.github.ioifm

Bravo-Hermsdorff et al. 2023

Intervention generalization: A view from factor graph models. Advances in Neural Information Processing Systems 36, pp. 43662-43675.

https://dswatson.github.iokmeans

Watson 2023

On the philosophy of unsupervised learning. Philosophy & Technology, 36(28).

https://dswatson.github.iosmiley

Watson et al. 2023

Adversarial random forests for density estimation and generative modeling. Proceedings of The 26th International Conference on Artificial Intelligence and Statistics, pp. 5357-5375.

https://dswatson.github.ioiv_bounds

Padh et al. 2023

Stochastic causal programming for bounding treatment effects. Proceedings of The 2nd Conference on Causal Learning and Reasoning, pp. 142-176.

https://dswatson.github.ioswitch

Mökander et al. 2023

The switch, the ladder, and the matrix: Models for classifying AI systems. Minds & Machines, 33, 221-248.

https://dswatson.github.iosimpsons

Desai et al. 2022

The epistemological foundations of data science: A critical analysis. Synthese, 200(6), 469.

https://dswatson.github.iocbl

Watson & Silva 2022

Causal discovery under a confounder blanket. Proceedings of the 38th Conference on Uncertainty in Artificial Intelligence, pp. 2096-2106.

https://dswatson.github.iopca

The RA-MAP Consortium 2022

RA-MAP, molecular immunological landscapes in early rheumatoid arthritis and healthy vaccine recipients. Scientific Data, 9(196).

https://dswatson.github.iocredit

Watson 2022

Rational Shapley values. Proceedings of the 2022 ACM Conference on Fairness, Accountability, and Transparency, pp. 1083-1094.

https://dswatson.github.iolens

Watson et al. 2022

Local explanations via necessity and sufficiency: Unifying theory and practice. Minds & Machines, 32(1), 185-218.

https://dswatson.github.ioloc_lin

Watson 2022

Conceptual challenges for interpretable machine learning. Synthese, 200(2), 65-98.

https://dswatson.github.iotumor

Watson 2021

Interpretable machine learning for genomics. Human Genetics, 141(9), 1499-1513.

https://dswatson.github.iophi_curves

Marchal & Watson 2021

The paradox of poor representation: How voter–party incongruence curbs affective polarisation. The British Journal of Politics and International Relations, 24(4), 668-685.

https://dswatson.github.iohists

Watson & Wright 2021

Testing conditional independence in supervised learning algorithms. Machine Learning, 110(8), 2107-2129.

https://dswatson.github.iodecomp

Gultchin et al. 2021

Operationalizing complex causes: A pragmatic view of mediation. Proceedings of the 38th International Conference on Machine Learning, pp. 3875-3885.

https://dswatson.github.ioice

Watson 2021

Explaining black box algorithms: Epistemological challenges and machine learning solutions. Doctoral Dissertation, University of Oxford.

https://dswatson.github.iopcfl

Kinney & Watson 2020

Causal feature learning for utility-maximizing agents. Proceedings of the 10th International Conference on Probabilistic Graphical Models, pp. 257-268.

https://dswatson.github.iomanhattan

Nicholls et al. 2020

Reaching the end-game for GWAS: Machine learning approaches for the prioritization of complex disease loci. Frontiers in Genetics, 11, 350.

https://dswatson.github.iobox

Watson & Floridi 2020

The explanation game: A formal framework for interpretable machine learning. Synthese, 198(10), 9211-9242.

https://dswatson.github.iok5

John et al. 2020

M3C: Monte Carlo reference based consensus clustering. Scientific Reports, 10(1), 1816.

https://dswatson.github.iosurv

John et al. 2020

Spectrum: Fast density-aware spectral clustering for single and multi-omic data. Bioinformatics, 36(4), 1159-1166.

https://dswatson.github.iontree

Watson 2019

The rhetoric and reality of anthropomorphism in artificial intelligence. Minds & Machines, 29(3), 414-440.

https://dswatson.github.iocumplots

Öhman & Watson 2019

Are the dead taking over facebook? A big data approach to the future of death online. Big Data & Society, 6(1), 1-13.

https://dswatson.github.ioheatmap

O'Toole et al. 2019

Oncometabolite induced primary cilia loss in pheochromocytoma. Endocrine-Related Cancer, 26(1), 165-180.

https://dswatson.github.iolungs

Watson et al. 2019

Clinical applications of machine learning algorithms: Beyond the black box. BMJ, 346, 446-448.

https://dswatson.github.ioarea

Watson 2019

The price of discovery: A model of scientific research markets. In Öhman, C. & Watson, D. (Eds), The 2018 Yearbook of the Digital Ethics Lab, pp. 51-63.

https://dswatson.github.iobarplot

Foulkes et al. 2018

A framework for multi-omic prediction of treatment response to biologic therapy for psoriasis. Journal of Investigative Dermatology, 139(1), 100-107.

https://dswatson.github.iohist

Watson & Floridi 2018

Crowdsourced science: Sociotechnical epistemology in the e-research paradigm. Synthese, 195(2), 741-764.